Bis vor kurzem dachte ich immer, dass die Multiplikation von Spannung in Volt und Stromstärke in Ampere nur zur Einheit Watt führt. Doch dem ist nicht so. Und selbst wenn in vereinfachter Form Voltampere und Watt das Gleiche zu sein scheinen, so ist dem nicht unbedingt so. Also habe ich mich mal ein bisschen belesen, und jetzt bin ich schlauer. Was ich herausgefunden habe, das möchte ich euch so einfach wie mir möglich weitergeben.
Kapitel in diesem Beitrag:
Themenfindung: Verwirrung durch Stromverbrauchmessgerät
Letztens kam das Voltcraft Energy Logger 4000 Stromverbrauchmessgerät bei mir an. Als ich es ausprobierte, war ich ob der getrennten Anzeige von Watt und Voltampere etwas verwirrt. Auch, weil beide Werte bei ein und der selben Messung unterschiedlich groß waren. Klar, wären sie gleich, müssten sie nicht gesondert voneinander aufgeführt werden. Aber so richtig erschlossen hatte sich mir diese Aufschlüsselung auf den ersten Blick nicht.

Ich dachte bisher immer, dass Volt x Ampere = Watt gilt, aber so einfach ist es dann doch nicht. Denn neben Watt (W) als Einheit für die Leistung kann zur Einschätzung elektronischer Geräte auch noch Voltampere (VA) als Einheit für die Scheinleistung hinzugezogen werden. Diese berücksichtig neben den blanken Zahlen und der theoretischen Berechnung der Leistung (z. B. durch den Hersteller) zusätzlich Verluste durch die Beanspruchung von Bauelementen, Wärmeabgabe und dergleichen.
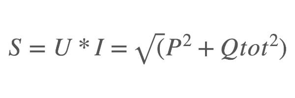
Der Unterschied zwischen Voltampere und Watt
Voltampere ist die Maßeinheit für die Scheinleistung S, die in der elektrischen Energietechnik für Geräte und Maschinen zum Einsatz kommt, die mit Wechselgrößen (Wechselstrom, Wechselspannung, etc.) in Verbindung stehen. Die Scheinleistung bezieht neben den Volt- und Ampere-Werten auch Verluste durch beanspruchte Bauelemente mit ein. Für die Berechnung können daher auch die Wirkleistung P und die Blindleistung Qtot genutzt werden.
Watt ist die Maßeinheit für die Leistung P, die rein aus den Werten Volt (Spannung U) und Ampere (Stromstärke I) berechnet werden kann und für den elektrischen Bereich keine Verlust- oder Störfaktoren mit einbezieht. Die Leistung gibt lediglich an, welcher Energieumsatz pro Zeitspanne realisiert wird. In anderen Bereichen der Physik können daher für die Berechnung der Leistung in Watt auch andere Werte und Einheiten zum Einsatz kommen, etwa J/s.
Weitere Details und Formeln findet ihr in den Wikipedia-Beiträgen zu Scheinleistung (hier) und Leistung (hier).
Was versteht man unter Blindleistung?
Oben habe ich den Begriff Blindleistung ins Spiel gebracht. Diese beschreibt die Leistung, die „blind“ zwischen der Stromquelle (Kraftwerk, Generator, USV etc.) und dem Verbraucher, also dem elektrischen Gerät, hin und her wechselt. Sie spielt zwar keine Rolle für die Stromrechnung, da sie durch das Pendeln zwischen Quelle und Verbraucher keinen Verbrauch bedeutet, muss aber von Bauteilen und Leitungen / Kabeln übertragen werden können, und das zusätzlich zur Wirkleistung.
Eine Blindleistung tritt nicht auf, wenn Wirkleistung und Scheinleistung gleich groß sind. Das ist bei Verbrauchern der Fall, bei denen der beanspruchte elektrische Strom vollends umgewandelt wird. Bei klassischen Glühbirnen, die Licht und Wärme abgeben, ist dies zum Beispiel der Fall. Wie oben schon aufgezeigt, ergibt die Blindleistung in Addition zur Wirkleistung die Scheinleistung. Deshalb liegt sie bei 0, wenn S = P gilt.
Was versteht man nun also unter Leistung?
Die Leistung in Watt ist zum Beispiel am Computer zum Betrieb von Bauteilen wie Festplatten, Prozessoren, Arbeitsspeicher, Lüfter und dergleichen vonnöten und wird als Wärme abgegeben. Die elektrische Energie, die hier eingeht, wird also zu Teilen in thermische Energie umgewandelt und geht für das Stromnetz bzw. die spezifische Verbindung von Stromquelle und Verbraucher verloren. Wird die Leistung mit der Zeit multipliziert, dann ergibt sich die Arbeit, beispielsweise in Wattstunden (Wh) oder Kilowattstunden (kWh).
Nicht ganz unwichtig sind Leistung in Watt und Scheinleistung in Voltampere auch beim Vergleich von USV-Geräten für die unterbrechungsfreie Stromversorgung. Die USVs sind dem Stromnetz und dem Verbraucher (etwa dem Apple Mac) zwischengeschaltet und liefern beispielsweise bei einem Stromausfall den Strom für einen überbrückenden Betrieb. So können offene Dateien in Ruhe gespeichert und der Rechner heruntergefahren werden. Mehr dazu sowie Beispiele für gute Geräte gibt’s hier: USV für den Mac – Welche Modelle und Hersteller kommen in Frage?
Ähnliche Beiträge
Johannes hat nach dem Abitur eine Ausbildung zum Wirtschaftsassistenten in der Fachrichtung Fremdsprachen absolviert. Danach hat er sich aber für das Recherchieren und Schreiben entschieden, woraus seine Selbstständigkeit hervorging. Seit mehreren Jahren arbeitet er nun u. a. für Sir Apfelot. Seine Artikel beinhalten Produktvorstellungen, News, Anleitungen, Videospiele, Konsolen und einiges mehr. Apple Keynotes verfolgt er live per Stream.












Also ergibt Volt x Ampere immer noch/nur Watt und demzufolge ist es doch so einfach! Lediglich VA kann daraus nicht (zwingend) hergeleitet werden. ????
Ja, im Prinzip, wie du schreibst. Nur, dass ich VA und W den Unterschied nochmal erläutern wollte… ;-)
Den kannte ich auch nicht!
Danke! ????????
Als Lehrer kann ich dir sagen, du musst noch viel lernen, was das Erklären angeht. Ich habe nicht verstanden, was Voltampere nun sind. Mit Formeln machst du Laien schon gleich mal gar nichts verständlich. Die „Blindleistung“, glaube ich, ist verzichtbar, wenn man Voltampere erklären möchte. Und wer so einen Artikel überhaupt liest, dem musst du nicht erläutern, was eine USV ist … Im Grunde schreibst du wie die Elektrotechniker in der Wikipedia – dort sind auch alle diese Artikel weitgehend unlesbar für Laien. Wenn ich aber weiter recherchieren muss, um deinen Artikel und die Wiki-Artikel zu verstehen, dann sind es schlechte Artikel.
Ich bin natürlich befangen, aber ich (als Diplom Pädagoge) habe mir den Artikel von Johannes eben noch einmal durchgelesen und finde, dass er für Laien verständlich ist, da er die zwei Hauptunterschiede direkt oberhalb der Formel zusammen fasst:
und
Und wer es genauer wissen möchte, kann sich ja noch die weiteren Erklärungen anschauen. Ich meine, wir sind hier ja nicht bei der Sendung mit der Maus, sondern bei einer Seite, wo man davon ausgehen kann, dass jemand schon ein bisschen was von Watt und Co. gehört hat. Aber wer da noch Nachholbedarf hat, kann ja mal hier bei der Maus reinschauen. Ist übrigens klasse erklärt!